磯調査

トピックス

調査項目と内容

現地調査主体:研究者

■調査者・専門家へのインタビュー

<磯> 調査内容 調査頻度 調査結果の概要
底生生物調査 固着性生物の
在・不在
毎年
(5年に1度
詳細調査)
外来種を含む磯の環境変化の指標となる種の分布状況や岩温の経年変化を把握。
物理環境調査 磯の岩温の計測 連続計測

■詳しくはマニュアル・動画マニュアルをご参照下さい。

分かってきたこと

種の多様さの状態を経年的に把握

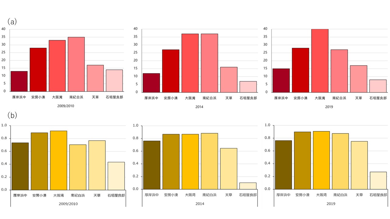
磯生態系では、サイトに生息する固着性生物※を5年おきに記録しています。種の多様さとして、種数と多様性指数を算出したところ、どちらも安房小湊、大阪湾、南紀白浜で高くなりました。2009/2010年と2014年で概ね同じ傾向であり、磯の生物の多様さが房総半島から紀伊半島にかけて高い水準で維持されていたことが把握できました。
※固着性生物:磯に付着して動かずに生活する生物のこと。海藻やフジツボなどが固着生成物にあたります。

固着性生物の出現種数の変化と固着性生物のSimpson多様度指数(1/λ)の変化のグラフ

図1. 固着性生物の出現種数の変化(a)、固着性生物のSimpson多様度指数(1/λ)の変化(b)
左から厚岸浜中、安房小湊、大阪湾、南紀白浜、天草、石垣屋良部の2009/2010年と2014年の調査結果から算出した値を示します。

磯調査サイト位置図

図2. 磯調査サイト位置図
固着性生物の種数と多様度指数が高かったのは、安房小湊、大阪湾、南紀白浜の3サイト(太平洋沖の房総半島から紀伊半島にかけて)でした。

  •  

■その他分かってきたことは、分かってきたこと一覧をご参照下さい。

施策への活用

調査結果へのリンク